ads/auto.txt

Dietary Intake Assessment Method

Advantages And Disadvantages Of Dietary Assessment Methods Download Table

Advantages And Disadvantages Of Dietary Assessment Methods Download Table

An Overview Of Common Dietary Assessment Methods Used With Athletes Adam Virgile Sports Science

An Overview Of Common Dietary Assessment Methods Used With Athletes Adam Virgile Sports Science

Sanghvi 9 Linking Dietary Intakes With Nutritional Assessment

Sanghvi 9 Linking Dietary Intakes With Nutritional Assessment

Assessment Of Nutritional Status

Assessment Of Nutritional Status

Dietary Assessment An Overview Sciencedirect Topics

Dietary Assessment An Overview Sciencedirect Topics

Ppt Nutrition Assessment The Science Of Determining Nutrition Status Powerpoint Presentation Id 5950229

Ppt Nutrition Assessment The Science Of Determining Nutrition Status Powerpoint Presentation Id 5950229

Ppt Nutrition Assessment The Science Of Determining Nutrition Status Powerpoint Presentation Id 5950229

New methodologies for dietary assessment include electronic applications that allow participants to input data directly or upload photos that allow for assessment of data.

Dietary intake assessment method. Retrospective methods include the dietary history a guided interview usually used to gain insights on habitual intake often framed as a typical day the 24 h recall which investigates intake over a specific day and the food frequency questionnaire a summary of usual intake of different categories of foods. The term food based dietary assessment methods refers to assessment tools used to estimate the. Choosing a dietary assessment method. Suggested citation 5 food based assessment of dietary intake institute of medicine.

Secondly dietary intake data were obtained via 24 h dietary recall which is an effective method for providing detailed intake data on specific days with relatively small respondent burden. Nutrient adequacy is usually compared to the dietary reference intakes dris for a child s age and size unless there are known at risk nutrients 86. The national academies press. 3 6 measurement errors in dietary assessment 65 3 6 1 misreporting energy intakes 68 3 7 reproducibility in dietary assessment 69 3 8 validity in dietary assessment 70 3 9 quality control and data analysis on dietary assessment 76 4.

It is not possible to decide which dietary method to use until the purpose of the study has been clearly defined since this will determine the kind of information and the length of time for which it needs to be collected from each individual. Pdf on may 1 1994 u kapil and others published methods for assessment of dietary intake find read and cite all the research you need on researchgate. This helps the nutritionist understand what if any problems with eating habits exist and where to personalize the client s needs. Selecting a direct dietary assessment method 79 4 1 study objectives in dietary assessment 79.

Weighment method 24 hr recall method food frequency questionnaire method ffq method duplicate sample chemical analysis method. Expenditure pattern method. Dietary risk assessment in the wic program. Dietary records or food diaries can be highlighted among dietary assessment methods of the current diet for their interest and validity.

One of the first exercises between a nutritionist and her new client is a discussion about past and current eating habits.

Dietary Analysis Nutrition Metabolism Gi Research In Hiv Cfar Nutrition Core

Dietary Analysis Nutrition Metabolism Gi Research In Hiv Cfar Nutrition Core

Continuum Of Nutritional Status And Sensitivity Of Assessment Methods Download Scientific Diagram

Continuum Of Nutritional Status And Sensitivity Of Assessment Methods Download Scientific Diagram

Nutrients Free Full Text Validity Of Dietary Assessment In Athletes A Systematic Review Html

Nutrients Free Full Text Validity Of Dietary Assessment In Athletes A Systematic Review Html

Nutrients Special Issue Technology Based Approaches To Dietary Intake Assessment

Nutrients Special Issue Technology Based Approaches To Dietary Intake Assessment

Dietary Intake How Do We Measure What People Are Really Eating Johnson 2002 Obesity Research Wiley Online Library

Dietary Intake How Do We Measure What People Are Really Eating Johnson 2002 Obesity Research Wiley Online Library

Conceptual Framework For Studying Associations Between Maternal Download Scientific Diagram

Conceptual Framework For Studying Associations Between Maternal Download Scientific Diagram

Guidelines For Biomarker Of Food Intake Reviews Bfirev How To Conduct An Extensive Literature Search For Biomarker Of Food Intake Discovery Springerlink

Guidelines For Biomarker Of Food Intake Reviews Bfirev How To Conduct An Extensive Literature Search For Biomarker Of Food Intake Discovery Springerlink

Https Www Nmcd Journal Com Article S0939 4753 06 00166 9 Pdf

Https Www Nmcd Journal Com Article S0939 4753 06 00166 9 Pdf

Nutrients Free Full Text Narrative Review Of New Methods For Assessing Food And Energy Intake Html

Nutrients Free Full Text Narrative Review Of New Methods For Assessing Food And Energy Intake Html

Nutrients Free Full Text Associations Between Dietary Fiber Intake In Infancy And Cardiometabolic Health At School Age The Generation R Study Html

Nutrients Free Full Text Associations Between Dietary Fiber Intake In Infancy And Cardiometabolic Health At School Age The Generation R Study Html

Measuring Diet And Nutrition

Measuring Diet And Nutrition

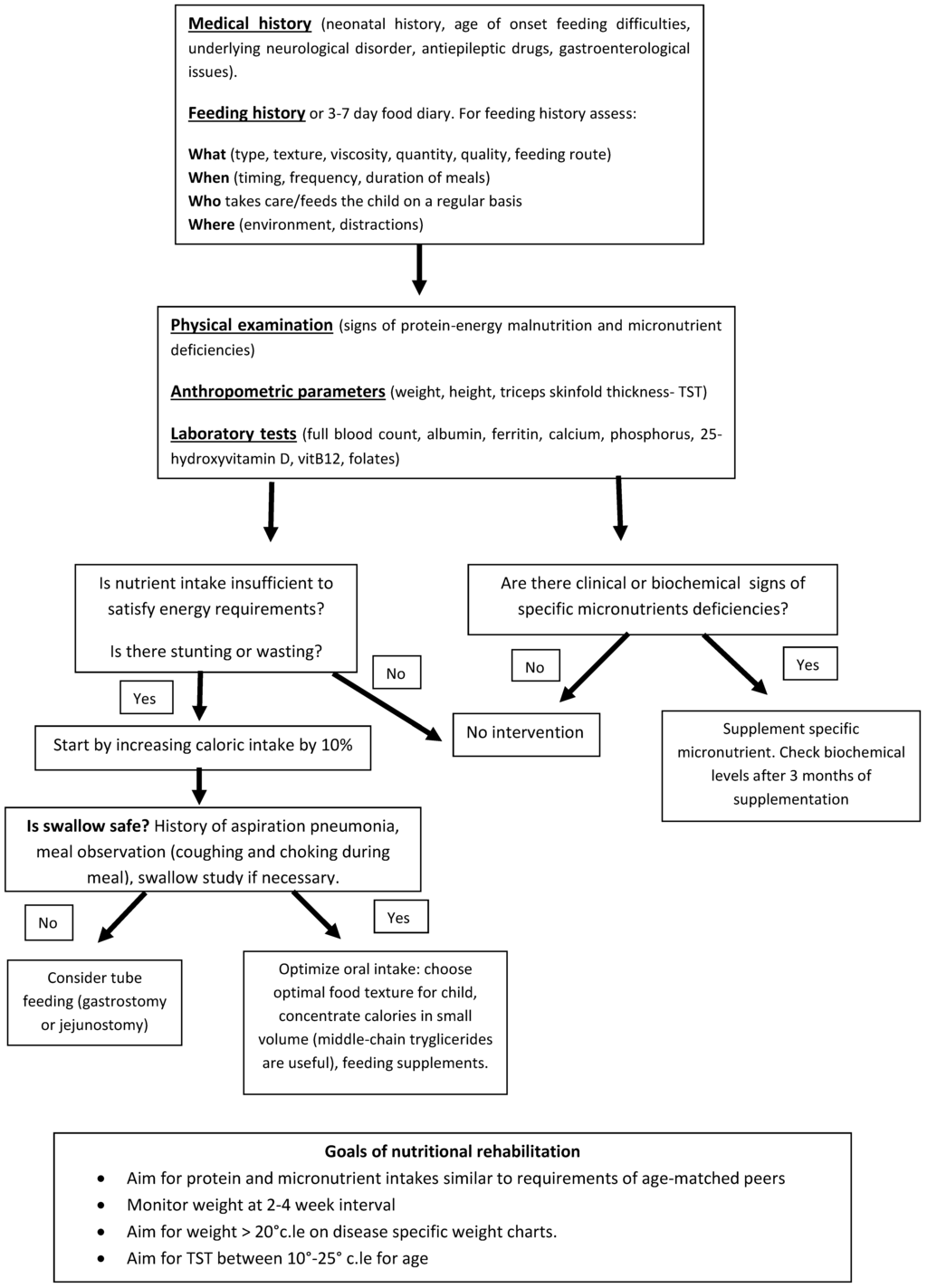
Nutrients Free Full Text Dietary Intakes And Nutritional Issues In Neurologically Impaired Children Html

Nutrients Free Full Text Dietary Intakes And Nutritional Issues In Neurologically Impaired Children Html

Average Dietary Intake Of Energy Macronutrients And Micronutrients In Download Table

Average Dietary Intake Of Energy Macronutrients And Micronutrients In Download Table

Nutritional Assessment

Nutritional Assessment

Source : pinterest.com